有的时候我们在使用螺丝紧固件,基本没用太大的力去拧螺丝,螺丝就断了。这个是为什么呢?一般发生这种情况是因为螺丝在进行电镀的时候没有在规定的时间内进行除氢处理,在使用螺丝紧固件的时候就会很容易发生氢脆。
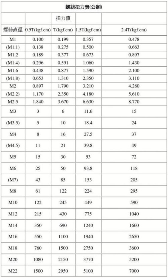
那么我们要怎么检测螺丝紧固件是否会发生氢脆呢?首先我们要拿一个螺丝用我们的眼睛去观察螺丝的表面有没有明显的裂缝,接着用扭力扳手测试这个螺丝的受力范围,如果在扭的过程中螺丝没有达到标准的扭力就断了,那么这个螺丝就存在着氢脆的现象。
参照以上的螺丝紧固件扭力表就可以知道螺丝是否发生了氢脆。

24小时服务热线:13149943113
服务热线:+86-755-29707800